-Музыка

 -Подписка по e-mail

 

 -Поиск по дневнику

Поиск сообщений в D_ownfall

 -Статистика

Статистика LiveInternet.ru: показано количество хитов и посетителей
Создан: 18.03.2003
Записей: 995
Комментариев: 1607
Написано: 2905




free counters

Трижждызлабля

Четверг, 09 Августа 2007 г. 19:17 + в цитатник
Отдельное спасибо хочу сказать Pegasus Airlines.

Из лирики: невысказанное тянет в прошлое, а от него пора б освободиться.
По теме: они - единственное, что омрачило (мой лично) отдых.
Конкретно: Авиакомпания Пегасыс Аирлинес маст дай.
На самом деле я поняла, что пока не зафиксирую, буду с разжражением вспоминать. Ни к чему такое совершенно.

Самолетов боюсь пажызни и панически - некогда, лет около десяти назад, мы с отцлм, возвращаясь с Эмиратов, попали в снежную бурьку над аэропортом, и из-за нее диспетчеры не давали разрешение на посадку. Было грустно, потому что наш ИЛ нарезал круги над городом, трясясь и воя, а по салону ходили шепотки, что мы либо разобьемся, либо сядем в Бишкеке, либо будем летать, пока не кончится топливо, а потом все равно разобьемся.
До этого (в ранней молодости) мы с бабулями несколько раз в месяц на разгроханных Тушках летали с Актау в Алмату и взад по тому же маршруту. Процесса тогошнего не припомню, но рассказывают, что нравилось.

В Турцию мы долетели отлично: сердобольный папенька, который на тот момент был в отпуске и мучался от отсутствия деятельности, заранее побеспокоился о том, чтобы места нам дали нормальные, и чтобы стюарды почаще делали так, чтобы мы думали, что они строят нам свои турецкие разрезы глаз.

Зато обратная дорога почти отбила охоту летать на некоторое время - я, бля, за справедливость, бля, и за индивидуальный подход к каждому клиенту.
На регистрацию мы втроем пришли далеко не последние. Сосредоточившись на том, чтобы получить места рядом, а не разбросанные по салону, обошли момент расположения самих мест.
Тетька за регистрационным столом, на первый взгляд очень вменяемая, с опытом работы в авиации и с чудным нглийским произношением (как она произнесла "Сри пипол?") четко видела перед собой троих высоких девушек с длинными ногами. Какой логикой она руководствовалась, когда впечатала в наш билет места 32 DEF - представить страшно. Мы еще шутя, поднимаясь в самолет, выкрикивали, что места в хвосте окажутся.
В самом хвосте....
Маман моя говорила, что когда самолет взрывается и падает, то хвост еще некоторое время продолжает лететь. И в этом единственном повезло.
Места оказались те, что в самой жопе и из-за смежности с имердженси выходом фиксированные...без возможности откинуться назад.
С неистовыми кондерами (Ольга говорит: кондиционеры для всех, а одеялов всего 21).
Возможность откинуться зато была у женщин, сидящих впереди, поэтому большую часть пути их головыпокоились на уровне наших коленей.
Ноги приходилось вытаскивать в салон или скрючиваться, затаскивая на кресло.
На просьбы дать одеяло (ит ис соу колд хир) стюардессы отвечали "Чайлд фёст" и "Финиш". Потом создалось впечатление, что они усволили только эти два необходимых для общения словосочетания.
Зато когда пришло время одеяла собирать, к нам обратились несколько раз.
Дальше...
Прямо за спинами находился туалет с двумя вытекающими последствиями: постоянной очередью, веселой и общительной, длинной и задевающей вытянутые в проход ноги....и звуками исправно работающего сливного бочка.
Первые несколько раз я думала, что самолет с такими специфическими звуками просто падает, а потом смирилась.
После особо старательных пассажиров в воздухе пахло гавном.
Еда до 32 места, есессна, доезжала холодная и без второй булочки. Греть и возвращаться за второй булочкой стюардессам, владеющим только двумя речевыми оборотами, в голову не пришло - не было в их лексиконе нужных слов, обозначающих вышеперечисленные действия.
Все эти мелочи можно было бы отнести в раздел "Летные приколы" и не особо париться, а, напротив, с улыбкой вспоминать приключения в воздухе, но...
Прошла неделя с момента возвращения, а мы с Ольгой до сих пор лечимся от простуды...вызыванной неугомонными кондиционерами и отсутствием одеял.
Я очень сожалею, что во время полета у меня не образовалось пролежней - было бы чем похвастать...и не стыдно показать.

Чо делать?

Воскресенье, 05 Августа 2007 г. 01:53 + в цитатник
Диск с аудиофайлами не проигрывается ни в одной программе (винамп, виндовс медиа плеер). Чо случилось и чо с этой хуйней делать?
Файлы мп3, говорят, что надо через винамп включать, а тот отказывается.

ЗЫ: Нужна песня "Сваременте бесса ме" %)...
Кто поет?

Джаст ритерн

Пятница, 03 Августа 2007 г. 20:41 + в цитатник
Дома.
Слов нету.
Терки - рай. Терки - рай. Терки - рай.
Больше туда не поеду, потмоу что не хочу испортить впечатления.
Ким, дай мне свой номер телефона.
Ксава, спасибо за твое терпение. Оно того стоилло.
Мужики, надо встретиццо.
Зарина, драгоста!

Квантовая добита.

Четверг, 19 Июля 2007 г. 22:51 + в цитатник
Ура.
Я ее дочитала. Дочитала и почти поняла. В общем ощущение испытываю смутное...описанное Вадегом, как полет тещи на новой машине в пропасть.

1. То, что афтар претендует на научность, меня несомненно порадовало: он в самом начале книги обозначил парадигму, в рамках которой он изволил писать, под всеми своими смелыми тезисами проставлял ссылки, цитировал великих и т.д.
2. Потом я села на его "экзистенциальном языке", испытав глубокое разочарование. Хотя, нет, его даром подгонять под концепции можно только восхищаться: столько трындеть о феноменологии, поливать помоями аристотеля и платона, отказываться от сущности, останавливаясь на существовании...чтобы просто потом сказать, что парафраз - это круто, потому что он - по теории вероятности, ни разу не упомянув вообще термин "парафраз"...это да, кароче. Это пиздец да.
3. Очень клево объяснить на уровне химических и нервных процессов, отчего позитивное мышление дает более положительные результаты, чем пессимизм и прочее ему подобное.
4. На моменте описания гипотезы о существовании тысяч альтернативных вселенных с тысячами альтернативных моих эгов на примере кошки Шредингера и векторов (мы это в школе проходили), я поняла, что в одной из этих тысяч альтернативных вселенных мое альтернативное эго сдохло именно во время прочтения этой главы по причине кровоизлияния в мозг, вызванного перенапряжением. Дзеновская пустота намного комфортней.
5. Рассказывать про стадии развития по Фрейду, говорить о его защитных механизмах и при этом намекать на новизну данных - подло. Это уже было. Или мне кажется, что было. Вообще, на экзистенциальном языке, сцуко, так не говорят. Надо было сказать, что...мне, обладающей некоторым личным опытом, на данный момент времени кажется, что, в написанном в этом вордовском файле есть нечто общее с тем, что я считаю стадиями развития личности по Фрейду. Блять.
6. Некаузальную и каузальную корреляции мы проходили с Василичем на втором курсе. Это, типа..
1) Я читаю книгу и погода в это время пасмурная. Регулярно. Совпадение, но не причина. То ись, если погода станет ясной, книгу читать я не перестану. Связь есть, но не причинно следственная.
2) Погода пасмурная, я вышла из дома зонтом. Тута, кароче, причина есть....и писать я уже устала, но буду.
7. Телеологическая детерминация - тоже программа второго курса. Ученые дрались, но не могли понять, как будущее может определять настоящее, а настоящее - прошлое. В Квантовой психологии все понятно: оказывается из-за хуевой тучи альтернативных вселеннных сигнал из настоящего летит в прошлое, там он изменяется и возвращается в настоящее, чтобы удовлетворить его требованиям. То есть, содателями модели реальности мы являемся сами. Те же ученые долго дрались, размышляянад вопросом: почему именно этот мир настолько подходит человеку для жизни? они даже исследования провели и пришли к выводу о том, что если все наши константы изменить хоть на чуть, то мир станет не пригоден для жизни. Возможно, таких альтернативных пустых вселенных может быть очень много. Наша же, говорят, пригодна вот почему...- благодаря телеологической детерминации. Все наши эксперименты каким-то странным образом отправляются в прошлое, меняют его, и мир в настоящем становится максимально офигительным.
Похоже на хрень и на эффект бабочки. Или на И Грянул Гром..Рэя Бредберри.
8. А еще автор очень смело (удовлетворяя еще одному критерию научности - обязательности наличия прогнозтической валидности), утверждает, что будет в будущем, если мы сейчас начнем использовать предложенные им методы мышления. Будет ништяк.

перечитывать книжечку больше не буду.
Отправила ее Агееву (повод заобщаться), может он что-нить мне объяснит.
Аминь.

Все плоха

Четверг, 19 Июля 2007 г. 01:16 + в цитатник
Я повелась на симпачки.

Среда. Убил всю родню Гоги. Скучно (с).

Четверг, 19 Июля 2007 г. 00:48 + в цитатник
Охота осень уже чтобы.
Трех месяцев, отведенных для каждого времени года, вполне и чуть многовато. Наскучивает примерно в середине, а потом ждешь смены.
Как сейчас. Все, что лето предлагало, уже пережито и использовано. Все, чему свершиться не дано, уже отложено.

Терзает другое....
Почему Тесла отвергал теорию относительности?
Моих знаний в области физики и теславедения недостаточно, а в одном из заданий в конце одной из глав одной из книг, которую я ща четаю, именно так и спрошено: Почему Тесла отвергал теорию относительности?
Рылась в Большой Советской - нету там такой строчки, рылась в нете - слишком там эта...лень, кароче...

Дальше.
На маминых видеосусеках нашла кассету Шоссе 84, снятую на киностудии им. Кевина Спейси. Посмотреть - подумала - будет не лишним, потому что фильм Трасса 60 (похожее название) мне очень понравился, а Кевин Спейси видится мне талантливым актером, судя по тем фильмам, где был замечен; значит, продюссировать он решится только фильмы, достойные внимания.
Достойные его...очень интересного такого внимания, я б сказала: фильм оказался так себе. Чтобы не растрачиваться на эпитеты, вернусь к графику-результату исследования сериала Противостояние. Мысленно представив себе ту же координатную плоскость, линию "интересности фильма" нанесу так, чтобы она полностью совпадала с осью абсцисс %)...
Установлена мной еще одна очень интересная зависимость: между информативностью и возможностью предсказать сюжет: чем меньше содержания, тем проще прознать дальнейший ход событий. С этим в Шоссе 84 тоже все нормально - глубокая психологическая драма, финал которой понятен уже с самого начала. И не только потому что конец был классически показан сразу же после появления на экране затейливого названия.

Создатель, подсунь мне что-нить интересное уже, ну...
Стебаться утомило.

Слить

Вторник, 17 Июля 2007 г. 23:22 + в цитатник
Вяло.
Надо отписаться, чтобы выкинуть вяло из головы: ненаписанное давит - факт.

....
О поездке на Иссык Куль.
7.07 - все еще собираюст туда попасть.
9.07 - конкретно собираюсь на пару дней.
10.07 - твердо решила не ехать.
11.07 - еще тверже решила не ехать и купила сотку.

12.07. Утро (примерно 14.00). Просыпаемся с Ольгой после нехилой дуэтной пьянки. Смотрим первую часть Пиратов Карибского Моря.
12.07 (примерно 15.30). Едем на Сайран, чтобы отбить у себя охоту ехать на Иссык Куль. Или причину не ехать найти чтоб. Неважно.
-16.00. Причина не найдена. Надо ехать.
- 18.30. Причина найдена. Олю не пустили. Не едем. Ура.
- 20.00. Причина исчезла. Олю пустили. Придется ехать.
- 20.30. Купила два последних билета.
- 22.05. Сцуко, едем-таки.
- 00.00. Причина не ехать найдена - пятница тринадцатое. Из автобуса выходить поздно. Придется ехать дальше.
....
Съездили очень позитивно - без обязательств и ограничений. Ищу причины, чтобы не ехать туда в августе, после Турции. Чувствую, что придется ехать снова. Необуздываемое не обуздывается.
Только заимели место два последствия:
1). Вывернутая нахер правая сторона тела кроме той, что от зада и вниз. Гребла на лодке и что-то там себе дернула от энтузиазма. Потом самоотверженно предлагала Оле себя в автобусе, чтобы та села удобней (почему - см. последствие 2), и тем самым усугубила защемление\вывих\неврАлгию\образование нового образования\хуйзнаетчо.
2). В очередной раз поняла, насколько мерзок мой характер по утрам и насколько чудесные люди меня окружают. Ольга натерпелась утром в вс, когда меня сучило после вечернего экшна, ночного неспания и утреннего переселения из номера в номер. Не нравилось мне то, что Ольга сначала повесила куртки, а потом закрыла дверь,а не наоборот, потом что она предлагала мне в 10.30 пойти на пляж вместо запланированых 11.00. Когда страсти семейные улеглись и мы наконец-то откинулись, в номер пулей вбежала Заринка, повторяя "на пляж, на пляж, на пляж" (до этого зарик повторяла "бухать, бухать, бухать"...и это больше радовало, потому что было вечером). Я поняла, что девочки находятся на волоске от жизни и ушла под одеяло заниматься саморегуляцией. Помогло. Точней, помог здоровый сон до 13.30.
В общем, дамы, вы - лучшие. Честно-честно.
Кстати, тамошняя погода порадовала своей непредсказуемостью. В очередной раз, но настолько - впервые. Мы с Ольгой счастливые от того, что наконец-то дорвались до человеческой попсовой дискотеки зависли там на продолжительное время, а Заринка с девчонками ушли в номер. За танцами дождя и порывистого ветра не заметили. Осознание дерьмовости ситуации пришло только тогда, когда во всем пансионате вырубили свет. Танцующая толпа моментально превратилось в скопление зомби, у которых осталась только одна потребность - вернуть уплаченное за вход. А вокруг - ничерта не видно, только пыль, стучащие крыши, дождь и чистое звездное небо.
Из паники пришлось выбираться окольными путями.
Ползком добрались до нашего корпуса, взяли Заринку и ушли к нам в нумера общаться "взасос"(с).
К чему-то я это повествование вела, но, пардон, подзабыла. Может быть, к тому,что когда там не было света, не было вообще никакой воды...или к тому, что Зарик потушила сигарету в банке с паштетом...
Съездили, кароче, хорошо %)...

.....
Оказывется, я - реакционист ( в первый раз услышала это слово и его трактовку недавно). Это, типа, когда появляется что-то новое и сомнительное, я сначала упираюсь и всеми силами пытаюсь это опровергнуть и найти в новом все изъяны (вместо того, чтобы просто принять на веру и возрадоваться), а потом, если доводов у нового на право существования достаточно, то отношусь ровно...ну или чуть больше, чем просто ровно. В контексте большинства напряженных бесед я яро спорю против:
а) пикапа как метода раскрутить женский пол на секс:
б) необдуманного позитив синкинга и хаотичных визуализаций.
в) НЛП вообще, потому что а) и б)

При этом я прусь от диалогов, после которого меняю свои позиции. Такое редко случается, потому что, в основном, я отказываюсь от некоторых своих дебильных упертостей, доперев до их маразматичности самостоятельно, а не с чьей-то подачи.
Кароче, в итоге у меня прошло отрицание эмо-культуры: смирилась тем, что некоторым важно назвать как-то себя и назвать как-то других и, еще страшней, причислить себя к какой-то общности чиста так...условно.
Потом до меня доперло, что..топор сам по себе - предмет неопасный, а вот от того, в какие руки он попадет, зависит многое. От метафоры к практике: мир сквозь розовые очки и адекватное позитивное мышление - это разные вещи. Как я заблуждалась %)...Один умный дядька сумел разложить все по полкам, теперь врубаюсь, почему не рекомендуется думать о возможных неприятностях.
Книга Квантовая Психология - это да. Топор в руках нормального человека такого. До этого видела его в руках маньяков-убийц. К сожалению, еще не все прочитала, но прочитавшие говорят, что визуализация работает вообще безотказно, если ее грамотно применять (если мозг колеблется на одной частоте со вселенной%))...
Страшно скептически отношусь к таким вещам, но после научного обоснования пусть не верить и использовать буду, но хоть негативизм пройдет.
В пособиях "Как стать счастливым", " Как заработать кучу денег", " Как стать секс-монстром" и прочих житейских и домохозяйских хренях написано тождественное, но совсем другими словами.
О, формулировки, как много от Вас зависит!!!....
На этом пока все.

Нью.з

Среда, 11 Июля 2007 г. 17:42 + в цитатник
Други, еблайн номер восстановлен. Нумеров не знаю все равно ничьих, только некоторые, которые въелись в память из-за регулярного набирания их мною.

жопо

Понедельник, 09 Июля 2007 г. 20:15 + в цитатник
У меня сперли обе сотки. Нумера в течении пары дней восстановлю. Плиз, скиньте мне в аську номмера ваших мобил, други, а то совсем тускло щаз
%)...

Опять лоханулась с Токио Хотелем

Вторник, 03 Июля 2007 г. 22:13 + в цитатник
Первый раз был давно, зимой, когда я услышала в Спорте "клевый женский вокал", прознала у Дина, что это Токио Хотел поют, а на следующий день едва избежала драки на работе с фанатками группы: обиделись, что я их мальчика обозвала талантливой девочкой.
Спустя полгода....
В течение нескольких дней на одном форуме наблюдала аватарку. Простую, казалось бы, но почему-то тетка на ней внимание привлекла своим открытым взглядом и милой улыбкой. Решила для себя, что да...встречаются до сих пор женщины на авах, не блондинки, но способные порадовать глаз. Уже хотела было спросить у обладательницы, что за дива у ней вставлена.
Перевожу взгляд на подпись под аватаркой.
Цитирую:
" Тokio Нotel!!! Правда Билл милашка?:)".

Это засада.
 (100x100, 5Kb)

Хто бы мог подумать

Вторник, 03 Июля 2007 г. 16:30 + в цитатник



Мне теперь интересно, как это делло высчитывается %)....Может быть, они наобум чисел наставили.

Увлечена Тесла. Он был НЛПшником

трындец

Воскресенье, 01 Июля 2007 г. 16:22 + в цитатник
Несколько минут в компании мамы.

Чтобы разрядить обстановку, предложила ей послушать Фореста Гампа в исполнении Чижа, объявив песню, как одну из моих любимых.
Мама полушала.
Сказала, что это антифеминистская песня. Что, мол, мужик сам по себе такой возвышенный, бежит, а тут появляется женщина и тянет его в вигвам за яйца.

Противостояние

Четверг, 28 Июня 2007 г. 15:08 + в цитатник
%))))

Примерно тринадцать лет назад, когда я была молода и невменяема, мама усадила за телевизор, чтобы я вместе с ней смотрела страшный-страшный фильм Последняя схватка. Понимала я тогда мало, поэтому в память врезались только неключевые моменты с монстрами и убийствами и жуткое ощущение, вылезающее при каждой попытке припомнить, о чем сюжет.

Несколько лет спустя в домашней библиотеке появился два тома Противостояния (Стивен факинг Кинг).
Если не ошибаюсь, то други мои с ней тоже ознакомлены.
Страшно занудное творение с претензией на раскрытие проблемы классического противостояния бобра ослу...

И тут маман в каких-то архивах барахолки Болашак отрыла на двд эту кину полностью. Полностью - потому что режиссер уложил два тома в четыре части по примерно два часа каждую. Название каждой части соответствует ее основной тематике..во всяком случае, мне так хочется думать: Пролог, Сны, Предательство и Противостояние.
Снято все Это было в 1994 году. Сначала даже показалось, что снято очень неплохо: динамично в первые 15 минут, интересно в первый час и очень по-книге в последующие 7 часов. По-книге - так же неинтересно и занудливо.
Сначала США начинают стремительно вымирать от эпидемии Чумы, выжившим и иммунитетом снятся страшные сны про черную женщину и кукурузного мужика с красными глазами, каждая минута наполнена интригой, неясно, что будет дальше, мертвецы внезапно открывают глаза и разговаривают, черная женщина зовет всех к себе, мужик с красными глазами тоже зовет, но ему верится с трудом....
В конце концов жители америки делятся на два лагеря: те, с кем Бох и те, кто за посланника дъявола.
Первые очень сильно напоминают религиозную секту: Бога никогда не видели, но верят в Него потому что так сказала черная женщина.
Остальные выполняют гадкие поручения гадкого антихриста. А тот сверкает красными глазами, когда нервничает преврашается в магистра Йоду и делает себе ребенка.
Кароче, в конце концов почти все наши (те, кто за Бога) героически умирают, но мир спасают от присутствия темных сил. Оставшиеся тоже делают себе детей, чтобы возродить вымершую нацию.
Классические Кинговские герои (смелый мужик, одержимый псих, еще один ненормальный; харизматичный негодяй) отыграны хорошо - односторонне и предсказуемо.
Если кому-нить интересно увидеть когда-то прочитанное - диск даю запросто так и навсегда %)...

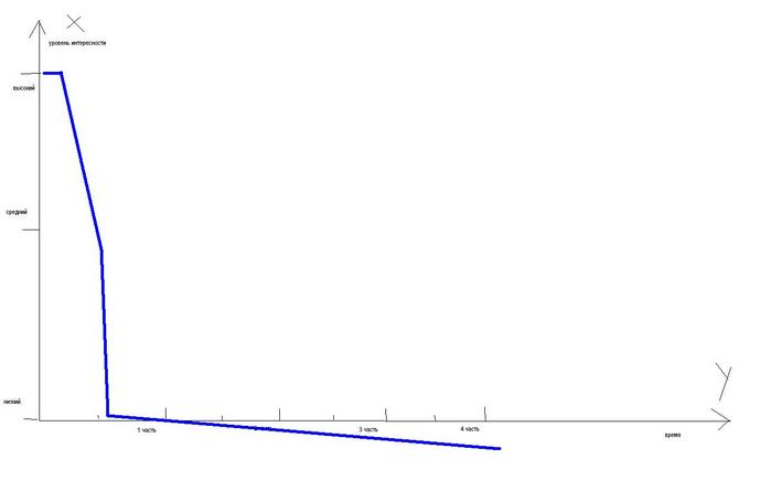
Аттачментом предгалаю график зависимости интересности фильма от его продолжительности. Делаю вывод, что надо было делать его длинной в 40 минут, тогда бы шансы получить пальмовую ветвь выросли в несколько раз. (наличие шансов не говорит о том, что ветвь должна быть получена).
 (699x445, 9Kb)

....

Среда, 27 Июня 2007 г. 20:57 + в цитатник
спешал фор Зарег.
"Как я послала по факсу копию паспорта".
Никак. К копиру и факсу без сопровождения более не подхожу.

Из прочего: жарко. Хочу на Аляску и обморожение самой последней степени.

Дошло!

Воскресенье, 24 Июня 2007 г. 22:10 + в цитатник
Дошло.

За весь немноголетний опыт в области кинонаркомании в качесте одного из кучи критериев претензии на оценку фильма выбрала "грузит-не грузит". Те кина, на которые реакции нет вообще, в учет не берутся.
Случается так, что крепко цепляет почти до кратковременной депрессии-отходняка по понятным и иногда непонятным причинам: мало ли. Ну...или хотя просто есть когда над чем подумать - уже повод возрадоваться. Эдакие "тяжелые" фильмы смотрю по настроению, бывает, что неожиданно на них напарываюсь, но, тем не менее, всегда рада, хоть и послевкусие очень горькое. Отзывается. Из самого, что первое пришло в голову - Море внутри. Пару недель после просмотра во избежании заебов типа "какой красивый закат"...в диалог по поводу сюжета не хотела вступать вообще.
Есть, напротив, фильмы, после которых тонус подымается, подымается. Не обязательно должен в них присутствовать намек на наличие мысли: тот же опыт показывает, что на самом придурошном сеансе можно от души посмеяться. Позитивное, тонизирующее и стопроцентно улыбающее тоже найти в прокате по одной рецензии сложно.
К примеру, Престиж. Вадег помнит.
К примеру, Отмороженные. Столько лет прошло, а пересматриваю с удовольствием иногда.
К чему веду...
К тому, что по велению судьбы самым взбалтывающим фильмом из всех, что мне пришлось смотреть (тешу себя иллюзиями и избегаю выматывающих сравнений и сопоставлений) стали Пираты Карибского моря 1. Почему - не знаю и задумываться не хочу..потому что разложу все по полочкам и окажется, что не так уж и нравится на самом деле. Тогда, по молодости, да и прошлым летом, тоже по молодости, была уверена, что все...трындец...в светлое будущее с ежегодными сиквелами, не менее светлыми и радующими. Да и настрой был боевой: в полной готовности поглотить любое гавно.
За пением в душе поняла, что все-таки не смогла проглотить третью часть. Можно врать себе и переться от нее, но ..фильм мне, блять, не понравился. Сюжетно разбавлен, кораблики в нем есть, Депп и все такое, но...мне не нравится. Не впечатляет. Более того, он меня катастрофически грузит своей жанровой смесью с преобладающей жестокостью.
То есть, если бы это была драма или какой-нибудь боевик без претензии на ..хм...стебную приключенческую-типа-сказку, то в отрыве от всего можно было бы посмотреть, а потом думать, с хера ли мне жалко никогда мной нелюбимую брошенную на острове Киру Найтли..
А так как уже начинается высоска из пальца, да и атмосфера потеряна, то остается только с нетерпением ждать, когда появится четвертый фильм и хоть чуть мнение изменит.
Пока негодую.

Псевдотренировка вещества внутри головы, на месте которого у всех людей мозг.

Воскресенье, 24 Июня 2007 г. 20:01 + в цитатник
С ранней молодости с большим трудом всегда играла в различные настольные, интеллектуальные и настолько-интеллектуальные игры по двум причинам: либо надоедает монотонность процесса (в смысле, необходимость думать в течение 10 минут или просто натужное изображение работы мысли, чтобы запугать противника), либо соперник начинает раздражать своим умением играть и выигрывать. К проигрышам отношусь ровно, но бывают такие люди, которые при каждой победе комментируют свою невъебенность на фоне въебенности (противоположного качества) проигравшего. При любом намеке на проявление подобного меня начинает неосознанно и при этом очень нехило нести так, что шахматы, к примеру, превращаются в вооруженные перестрелки, а карты - в разбрасывание листовок с любого этажа в зависимости от того, где происходит поединок.
У меня огромное уважение вызывают люди, которые действительно способны играть, а не колотить понты. Вообще, не люблю понты любые, не обязательно касательно игр. Видать, именно эта нелюбовь оказала влияние на ....ушла от темы.

Так вот, в результате попыток работать над собой могу теперь мыслить над ситуацией в шахматы до одного часа (потом поддаюсь%)). Даже выигрываю у тех, кто играет в первый и второй раз. Поняла, что карты - это тоже не просто так, особенно верю-не верю.
В карты из детского журнала Пираты Карибского моря играю вообще с привеликим удовольствием. Единственное, цель приключения, видимо, - развить память у детишек..очень много цифр приходится держать в голове, так что без бумажки и стопок записей вчетов-вычетов пока сложновато.

Любовь детства - Монополия - стала жертвой эволюции и теперь имеет кучу извращенных вариаций, типа "оптовичок", "олигарх", "миллионер", "потребитель". Олигарха надо подарить Ольге, пусть выйдет замуж наконец.
Мне пришлось играться в версию Потребитель. Цель игры - купить как можно больше потратив при этом как можно меньше. К игре прилагаются ситуации типа "Увас сломался унитаз. Если вы срали в него и подтирались обычной туалетной бумагой, то заплатите 1000 рублей в ваше местное КСК. Если вы подтирались туалетной бумагой Папирус, купленной в Супермаркете *****, то получите 2000 рублей в качестве компенсации". Смотрим на поле: если мы уже ходили в супермаркет и покупали там туалетную бумагу, то да...прибыль есть. Как легко жить.
Самое интересное, что игра эта, по словам авторов, учит, как нужно правильно рапределять свои доходы. Либо экономика на самом деле - не мое, либо игра эта на самом деле - жалкая модель реальной надуманной ситуации.
Аминь.

Работа развивает тоже не хуже всяких игр %)).... (достойный вывод, горжусь собой)%): к нам в первых числах июля к нам снова приезжает комиссия из Израиля, и, чтобы ситуация с их прошлого визита, когда мы, чтобы нормально пообщаться, переводили с иврита на английский и с русского на его же, не повторилась, мне поручили в срочном порядке выучить наиболее часто употребляемые психологические термины.
А я даже читать не умею без гласных %))....
Так вот, именно вышеперечисленные игры глушат ощущение паники по поводу грядущего мероприятия. Помню, еще тогда, сидим за столом, чуваки балакают во всю на своем о своем....а кусок жратвы в горле встал комом и там пытается хоть одно слово перевести...
%)
.......
Из лирики.
Что-то случилось...и стало сложнее получать удовольствие от жизни. Либо это иллюзия, на что страшно надеюсь, либо, как наркоману, все больше и больше надо напрячься, чтобы больше почувствовать. Не хочу ссылаться на прошлое, не эталон оно ибо, но сейчас нужно постоянно напрягаться и стараться, чтобы получить что-то, хотя бы дозу адреналина или смех от души. Ощущений не стало меньше, нет, просто чувствующему органу нужна большая доза.
Это значит, что пришло время что-то менять.

Насколько некоторым неважно, кого на ночь отыметь.

Среда, 20 Июня 2007 г. 22:56 + в цитатник
Не говорю уже про случаи, когда в рубашке от пижамы и рваных и грязных донельзя джинсах бегала вечером в магазин за молоком и хлебом.
В любых обликах местные джигиты регулярно путают с ранней блядью. Ранней в смыслах разных: слишком рано утром, когда надо валить на работу, или слишком рано вечером, когда ...кароче, рано еще.
Сегодня не помогла даже выработанная со ссылкой на многолетний опыт возвращений домой походка "аля дебил". Сутулая спина и ноги крестом - идеал женщины на одну ночь. В другой раз осмелюсь на глазах у возбужденных сейфуллинских гостей жрать козюли и пахабно рыгать.
Полные надежды вопросы каждого второго таксиста "ДевачкА, ты работать, да?" уже перестали пугать, как раньше.
Иногда только становится обидно от понимания того, что да...я смахиваю в чьих-то глазах на девицу лекого поведения, даже не взирая на общую концепцию нашей улицы.

Самое забавное: когда я вижу девушек, стоящих на обочине дороги, сама моментально вешаю на каждую ярлык %)

Осознание недостатка - первый шаг к борьбе с ним нафиг

Вторник, 19 Июня 2007 г. 23:11 + в цитатник
Летний бардак в голове. Бывают и другие сезонные бардаки, а этот вызван наконец-то наставшим плавлением мозга...или расплавленный вконец мозг - его следствие. На самом деле дело в высокой температуре. Сезон гроз как-то ближе и по душе.
Не могу начать делать ничего. Первые толчки физически практически невозможны.
Все склаыдвается в огромные списки, от вида которых становится еще более не по себе - намного проще ведь не записывать и на время забывать.
Мне невыносимо рутинно просыпаться утром и перечитывать список намеченных планов. Если день не прожит, что интересного в моем знании о его событиях? Заданность успокаивает и упорядочивает. но....несколько занудно.
Проводить время спонтанно (как дерьмо в проруби, как растению, как караблюбля по ветру) намного веселей, но, как следствие - куча мелких дел, задолженностей перед собой, скорее, чем перед кем-то. Единственное, к чему отношусь адекватно - подготовка к работе и сам ее процесс.
Стыдно должно быть. Стыдно. Необходимо совершить усилие над собой, чтобы именно начать...сесть...собраться...решиться. Дальше все, аки по маслу, но старт дается со зверским трудом. Самый маразматический пример: могу собираться начать читать книгу несколько дней: таскать ее в сумке, перелистывать, пытаться предсказать по названию ее суть....а потом все-таки ткнуть себя в нее мордой лица и прочесть за несколько часов, не поднимаясь.
Это называется настоящим эстонским залипанием?
Или из мемуаров о собирании конструкторов: три часа сидела, тупо пялясь в инструкцию, перебирая детали, регулярно отлучаясь на кухню, чтобы пожрать, то кидалась поболтать по телефону, потом из дома вообще ушла. В итоге, не вставая и не отрываясь, собрала за рекордные сроки.
Сенсеи, осспади, если хто знает, как с этим бороться...
Диагноз налицо, блять - ТОРМОЗ.

Pirates

Четверг, 14 Июня 2007 г. 23:28 + в цитатник
///
 (600x450, 75Kb)
 (600x450, 69Kb)

Снова о лени.

Вторник, 12 Июня 2007 г. 00:32 + в цитатник
Необходимо срочно до завтра закончить занятие для тренинга под названием "Тестирование глазами психолога". Не тестирование вообще, а то тестирование, на котором я торчала этой весной, когда психологи из Израиля имели мозги наших претендующих на обучение там детей.
Я долго перечитывала называние занятия, только спустя энное количество времени поняла, что психолог - это я, выходит, надо написать им рассказ о том, как это тестирование проходило с моей точки зрения?
Я жрала фарель у шефа в кабинете, а потом сперла чей-то шоколадный кекс.
"Как мало есть ваша девочка" - заметила какая-то тетя из комиссии.
Отвлеклась.
Очень трудно собрать всю полученную информацию в один час. Тем более, что восстанавливать события приходится с ровного места, ибо все мои любовно изъятые бланки ответов и списки с критериями отбора были изъяты в целях нераспространения информации.
В сраку. Из вредности набросаю по памяти рисунки к проективным методикам, нет названия которым, потому как нет границ для фантазии ихней....
Тема для второго занятия заказана убойная: НЛП.
НЛП.
НЛП.
Не знаю я, что больше не люблю, Фрейда с его психоанализом или НЛП. Как только кто-то начинает анализ согласно егошней психоаналитической теории, меня начинает переть нехило без видимый на то причин. Это защитный механизм "отрицание" %))...
Пишу, прерываясь на просмотры кинов и прочтение книгов...в следующем примерно соотношении: 0:2, где первое - объем проделанной работы, а второе - кол-во просмотренных фильмов. Далее числа, вопреки всем законам, в первой части будут увеличиваться на один, а во второй умножатсья на ...покуда дивиди хватит.
Правда, сама себя занудела написанием поста и собираюсь немедленно уснуть на клавиатуре.
Настроение отлично-спокойное. Выплясала в Спорте всю накопленную агрессию, зарядилась энергией, хочу еще. Чувствую покамест себя дитем света - люди вокруг хорошие (не все, а так, некоторые), все устраивает (не все, а так, все, что делает так, как я хочу) %)....
А еще хочу быть умной. Надо прерваться на.


Поиск сообщений в D_ownfall
Страницы: 48 ... 31 30 [29] 28 27 ..
.. 1 Календарь